PERMANENT MAGNET MOVING COIL

ELECTRICALGENIE

PERMANENT MAGNET MOVING COIL

Principle of Operation

The principle on which a Permanent Magnet Moving Coil (PMMC) instrument operates is that a torque is exerted on a current-carrying coil placed in the field of a permanent magnet. The coil C has a number of turns of thin insulated wires wound on a rectangular aluminum former F. The frame is carried on a spindle S mounted in jewel bearings J1, J2. A pointer PR is attached to the spindle so that it moves over a calibrated scale. The whole of the moving system is made as light in weight as possible to keep the friction at the bearing to a minimum. 
 

The coil is free to rotate in air gaps formed between the shaped soft-iron pole piece (pp) of a permanent magnet PM and a fixed soft-iron cylindrical core IC. The core serves two purposes; (a) it intensifies the magnetic field by reducing the length of the air gap, and (b) it makes the field radial and uniform in the air gap.
Thus, the coil always moves at right angles to the magnetic field. Modern permanent magnets are made of steel alloys which are difficult to machine. Soft-iron pole pieces (pp) are attached to the permanent magnet PM for easy machining in order to adjust the length of the air gap. A soft-iron yoke (Y ) is used to complete the flux path and to provide shielding from stray external fields.

Deflecting Torque Equation of PMMC Instrument 

Let, B = flux density in the air gap (wb/m2 )
 i = current in the coil (A) 
L = effective axial length of the coil (m) 
b = breadth of the coil (m) 
n = number of turns of the coil.
Force on one side of the coil is=BiLsinθ

Control Torque The control on the movement of the pointer over the scale is provided by two spirally wound, phosphor-bronze springs S1 and S2, one at each end of the spindle S. Sometimes these springs also conduct the current into and out of the coil. The control torque of the springs is proportional to the angle θ turned through by the coil.

Damping Torque When the aluminum former (F) moves with the coil in the field of the permanent magnet, a voltage is induced, causing eddy current to flow in it. These current exerts a force on the former. By Lenz’s law, this force opposes the motion producing it. Thus, a damping torque is obtained. Such a damping is called eddy-current damping. 

Advantages of PMMC Instruments:

  • Sensitive to small current .
  • Very accurate and reliable .
  • Uniform scale up to 270° or more .
  • Very effective built in damping .
  • Low power consumption, varies from 25 µW to 200 µW .
  • Free from hysteresis and not effected by external fields because its permanent magnet shields the coil from external magnetic fields.
  • Easily adopted as a multirange instrument .

Disadvantages of PMMC Instruments:

  • This type of instrument can be operated in direct current only. In alternating current, the instrument does not operate because in the positive half, the pointer experiences a force in one direction and in the negative half the pointer experiences the force in the opposite direction. Due to the inertia of the pointer, it retains it’s zero position. 
  • The moving system is very delicate and can easily be damaged by rough handling. 
  • The coil being very fine, cannot withstand prolonged overloading. 
  •  It is costlier. 
  • The ageing of the instrument (permanent magnet and control spring) may introduce some errors. 

EXTENSION OF RANGE OF PMMC INSTRUMENTS :

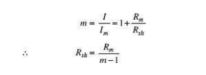
Ammeter Shunts: The moving-coil instrument has a coil wound with very fine wire. It can carry only few mA safely to give full-scale deflection. For measuring higher current, a low resistance is connected in parallel to the instrument to bypass the major part of the current. The low resistance connected in parallel with the coil is called a shunt.
The resistance of the shunt can be calculated using conventional circuit analysis
Rsh = shunt resistance (Ω) 
Rm = coil resistance (Ω) 
Im = Ifs = full-scale deflection current (A) 
Ish = shunt current (A) 
I = current to be measured (A)
The voltage drop across the shunt and the meter must be same as they are connected in parallel.
The ratio of the total current to the current in the meter is called multiplying power of shunt. Multiplying power,

Voltmeter Multipliers

For measuring higher voltages, a high resistance is connected in series with the instrument to limit the current in the coil to a safe value. This value of current should never exceed the current required to produce the full scale deflection. The high resistance connected in series with the instrument is called a multiplier.

The value of multiplier required to extend the voltage range, is calculated as under: 
Rsc = multiplier resistance (Ω)
Rm = meter resistance (Ω)
Im = Ifs = full scale deflection current (A) 
v = voltage across the meter for producing current Im (A) 
V = voltage to be measured (A)

Sensitivity The moving-coil instrument is a very sensitive instrument. It is, therefore, widely used for measuring current and voltage. The coil of the instrument may require a small amount of current (in the range of µA) for full-scale deflection. The sensitivity is sometimes expressed in ohm/volt. The sensitivity of a voltmeter is given by
Where, Ifs is the full-scale deflecting current. Thus, the sensitivity depends upon on the current to give full-scale deflection. 


Post a Comment

Oops!
It seems there is something wrong with your internet connection. Please connect to the internet and start browsing again.
AdBlock Detected!
We have detected that you are using adblocking plugin in your browser.
The revenue we earn by the advertisements is used to manage this website, we request you to whitelist our website in your adblocking plugin.
Site is Blocked
Sorry! This site is not available in your country.